Manufacturers ac hipot test set / test transformer 50-300kV optional Clarification There are four kinds of high voltage testing transformer according to the medium points:1. Oil-immersed high voltage transformer test: large capacity, cheap, convenient maintenance, mainstream products.2. Inflatable h......
Manufacturers ac hipot test set / test transformer 50-300kV optional
Clarification
There are four kinds of high voltage testing transformer according to the medium points:
1. Oil-immersed high voltage transformer test: large capacity, cheap, convenient maintenance, mainstream products.
2. Inflatable high voltage test transformer : interrupter resistance, and light weight.
3. Dry typehigh voltage testing transformer: light weight, light volume, can run backward, price expensive.
4.Series type high voltage testing transformer: small volume, low voltage, light weight, easy to transport and install.
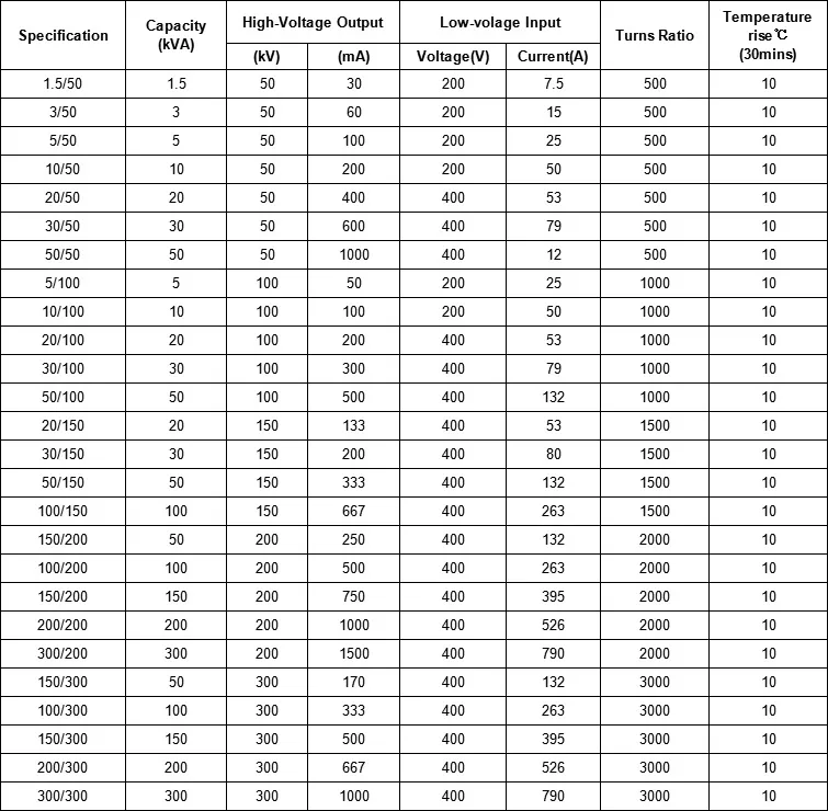
Different type for choice as below:

FAQ
1. Q: What is the language? After sale service,the Warranty?
A:English version or as your requirement.Warranty : 1 year.
2. Q: Does it output AC or DC or AC&DC?
A: We have AC and AC&DC, for your choice.
3. 3. Q: Whether does it have battery or liquid ? Convinent to delivery?
A: Some models have insulation oil, no battey, which does not influence the delivery.
4. Q: Where is it used?
A: Testing dielectric strength of High-voltage electrical equipment, electrical components, insulation material. For example,cable, high-tension switch etc.
5. Q: What types of testing equipment?What's the difference?
A: There are dry, oil-immersed and inflatable,three types. Differences as follow:
Dry: light weight, volume light, can rewind.
Inflatable: interrupter resistance, and light weight.
Oil-immersed: capacity, cheap, easy maintenance, mainstream products.
| Specification | Capacity | Input | Ouput | Current | DC Output | Weight |
| ( kVA ) | ( V ) | ( kV ) | ( mA ) | ( kV ) | ( kg ) | |
| 1.5/50 | 1.5 | 200 or 400 | 50 | 30 | 70 | 15 |
| 3/50 | 3 | 60 | 20 | |||
| 5/50 | 5 | 100 | 30 | |||
| 10/50 | 10 | 200 | 40 | |||
| 15/50 | 15 | 300 | 50 | |||
| 20/50 | 20 | 400 | 55 | |||
| 25/50 | 25 | 500 | 60 | |||
| 30/50 | 30 | 600 | 65 | |||
| 5/100 | 5 | 200 or 400 | 100 | 50 | 140 | 60 |
| 10/100 | 10 | 100 | 65 | |||
| 15/100 | 15 | 150 | 70 | |||
| 20/100 | 20 | 200 | 75 | |||
| 25/100 | 25 | 250 | 80 | |||
| 15/120 | 15 | 120 | 125 | 85 | ||
| 20/120 | 20 | 160 | 90 | |||
| 25/120 | 25 | 200 | 95 | |||
| 30/120 | 30 | 250 | 100 |





PV Module Flame Test Equipment, UL 1703 , UL 790, IEC 61730
UL 1703 -2004 Falling Ball Impact Tester for PV Module
Solar Panels Testing Hail Impact Testing Machine IEC61646 IEC61215 Standard
Salt Spray Flowing Mixed Gas Corrosion Testing Machine
UL 1703 -2004 Standard Drop Ball Testing Machine
UL 1703 -2004 PV Module Durable Hot Spot Testing Machine